В Безенги за снегом. Испытания альпинистского снаряжения
В марте я (Михаил Лебедев) с соратниками (Алексеем Кужелевым и Александром Пашкиным) выбрались в горы с двумя целями: подышать горным воздухом и насладиться красотами; испытать несколько видов альпинистского снаряжения, над которыми мы работали в последнее время. Часть 1. Лирическая. В нашей компании из трёх человек мы имели классическое сочетание: оптимист, пессимист и реалист. Причём пессимист, как и положено, оставался при своём, а оптимист и реалист по некоторым вопросам менялись ролями.
Предыстория. Давайте взглянем на фото вершины Коштан-тау. Слева на нём хорошо просматривается предвершинная часть северного гребня (4Б, маршрут Вуллея, 1889г.), справа – верхняя часть маршрута Калишевского 5Б, 1957г. Оба маршрута достаточно популярны. С одним из участников команды, ходившей по Калишевскому в прошлом сезоне, я разговаривал лично. На вопрос о страховке на снегу, он ответил, что иногда на две верёвки удавалось закрутить только один(!) бур. На маршруте 4Б дела со страховкой обстоят ещё хуже...
Пару лет назад я был на этом маршруте. Так получилось, что на гребне встретились целых три команды – группа гидов из Австрии, ребята из Находки и мы с друзьями. Этот гребень обрывается в сторону Нальчика огромными карнизами. И связкам в некоторых местах приходится двигаться по одну сторону гребня. Фирн был такой плотности, что ледоруб в него не забивался. А докопаться до льда нам не удалось, поскольку гребень пологий и толщина фирна большая. То есть фактически мы двигались без страховки. Когда нам на пути встретился участок свежего пухлого снега, наметённого в складку гребня ветром, и появился реальный шанс уехать вместе с этим снегом, австрийские гиды предложили повернуть назад: «The snow is very unstable!» Что мы тогда и сделали. Тогда-то я и задумался о снаряжении, которое могло бы выручить нас в такой ситуации.
Теперь о снаряжении, которое мы испытывали. Это были опытные экземпляры "снежного" снаряжения, которые ещё далеки от совершенства. Их можно доработать, сделать легче и прочнее. В этих экспериментах мы проверяли жизненность заложенных в них идей — стоит ли продолжать работу над ними. В конце испытаний я попросил участников оценить каждое изделие по трём параметрам:
- жизненность идеи (да/нет)
- насколько идея реализована в конкретном изделии (по 10 балльной шкале)
- потенциальная многофункциональность изделия (по 10 балльной шкале)
И вот что получилось.
Лопата
Слева лопата BD (740 г), справа наша лопата (460 г). По сути это совок от лопаты, который крепится на ледовый инструмент при помощи зажима за несколько секунд. Что позволяет сэкономить в весе.
Лопату можно использовать для поиска в лавине, организации страховки на снегу и для изготовления снежных кирпичей.
Пример необходимости использования здесь: https://www.risk.ru/blog/216513.
Устройство сне-гри
Служит для протравливания верёвки при срыве на снежном склоне с контролируемым усилием. Может использоваться как на станции, так и на промежуточной точке страховки (снежном крюке). Позволяет быстро выбирать верёвку во время срыва ведущего.
Теория
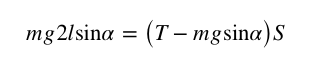
Рассмотрим срыв участника на снежно-фирновом склоне крутизной a к горизонту. Трением участника о склон и трением верёвки в карабине или о ледоруб пренебрежём. Считаем также, что участник не делает попыток самозадержания, а страхующий не успевает выбрать верёвку при срыве ведущего. Эта модель даст наиболее жёсткие требования к протравливанию верёвки. Учёт трения и выбирания верёвки только улучшает страховку.

Итак, участник выходит над станцией на длину верёвки l, срывается и пролетает по снежному склону длину 2l, после чего на него начинает действовать сила натяжения верёвки T, с которой протравливает верёвку страхующий. При этом на участника продолжает также действовать составляющая силы тяжести mg sina, увлекающая его вниз по склону (m - масса участника, g - ускорение свободного падения). Работа равнодействующей этих двух сил должна погасить потенциальную энергию mg 2l sina, набранную участником во время выхода к точке срыва над точкой начала действия верёвки.

Здесь S – длина тормозного пути равная длине протравливания верёвки.

Эта формула не рассматривает нагрузку на станцию и поэтому одинаково применима как к традиционному способу страховки через ледоруб, так и к страховке с помощью сне-гри. Введём силу F, действующую на станцию. Ясно, что эта сила имеет принципиальное значение, которое лучше всего выражает крылатая фраза: «Ледоруб держит 100кГ». Понятно, что максимальное усилие, которое в состоянии выдержать ледоруб, сильно зависит от нескольких факторов: от плотности снега, глубины, на которую забит ледоруб (или от его длины), усилия, с которым навалился на головку ледоруба страхующий и т.п. Но порядок величины всё равно останется тем же 100-200 кГ. Именно в этом принципиальное отличие страховки на снегу от страховки на скалах или на льду, где точки страховки могут быть сделаны достаточно надёжными, так что надёжность точки страховки перестаёт ограничивать надёжность всей страховочной цепи. Итак, рассмотрим силу F, действующую на станцию. В случае сне-гри F=T, тогда как при обычном способе страховки через ледоруб F=2T (см.рис.).

Зафиксируем максимальное усилие, действующее на станцию F=100кГ и рассчитаем тормозной путь S, необходимый для задержания сорвавшегося участника массой 80 кг для склонов крутизной 30 и 45 градусов (наиболее актуальный для страховки на снегу диапазон уклонов) при двух способах страховки. Для сне-гри справедлива формула:

тогда как для страховки через ледоруб:

Результаты приведены ниже.
Подчеркнём ещё раз, что приведённые выше результаты относятся к идеализированной модели срыва, предъявляющей наиболее жесткие требования к страховочной цепи. Тем не менее, она позволяет сделать однозначный вывод о том, что страховка с помощью сне-гри значительно повышает надёжность.
Выводы: Реальные испытания показали, что надо ещё работать над регулировкой протравливания. Пока оно не адекватно ситуации (в реальность сне-гри протравило около 30 см). По поводу многофункциональности ясности тоже пока нет, хотя принципиально можно сделать так, чтобы устройство вообще не протравливало верёвку и превратилось в обычное гри-гри, но с большим удобством выбирания слабины верёвки. С другой стороны, поскольку при протравливании верёвки ослабляются требования к прочности конструкции — не надо, чтобы она выдерживала тонну, можно сделать это устройство намного более лёгким, чем гри-гри.
Снежный бур

Вес 330 г. Позволяет делать отверстия в плотном снегу и фирне для ледоруба или снежных крючьев, закручивать ледобуры в лёд через слой снега, если отверстие доходит до льда (раскапывать снег при этом не потребуется).
Выводы: Конструкция требует значительной доработки по части удобства сверления фирна — не очень удобно прикладывать надавливающее усилие. Необходимо привести длину трубы в соответствие с длиной среднего ледоруба (70см). Надо решить проблему удобства очистки трубы от снега. Требует использования ледобуров с переделанной конструкцией уха. Может, в принципе, использоваться как точка страховки или как рукоятка для лопаты. Является естественным чехлом для пилы (см. ниже)
Снежная пила
Вес 130г.

Используется в сочетании со снежным буром для быстрого пропиливания снежно-фирнового склона непосредственно к точке страховки (ледобуру). Позволяет избежать при срыве участника усилия на точку страховки, направленного вдоль оси ледобура.
Алексей считает, что этой пилой можно будет также пилить деревья, если сделать её из стали.
Выводы: Необходимо сделать фиксацию строп пилы на снежном буре при помощи клинового стопора, чтобы избежать непроизвольного перекручивания строп во время закручивания ледобура.
Снежные крючья
После появления снежного бура возникает желание использовать его для установки снежных крючьев в плотном фирне. Сверлится отверстие и в него вставляется, например, пикет или уголковый крюк. При этом отпадает необходимость забивать их в плотный фирн, что может оказаться проблематично. Но пикеты довольно тяжелы и громоздки и вряд ли кто-то будет их брать с собой. Мы попробовали заменить пикет лёгкой трубой с плавающим ухом. Однако испытания показали, что эта конструкция значительно уступает пикету по надёжности. Необходимо придумать способ обеспечить свободное смещение уха только по направлению к склону и фиксации его при нагрузке в противоположном направлении. Необходимо также сделать боковые лепестки у трубы, которые бы повысили надёжность фиксации её в снегу.
Нереализованная пока идея с потенциалом:
Приделать к лопате фифу, чтобы получилась конструкция известная в морском деле как «якорь Денфорда». Он отличается тем, что при нагрузке только глубже уходит в дно. Если бы это удалось сделать, то часть энергии рывка уходила бы на заглубление точки страховки, что сильно повысило бы её надёжность в глубоком плотном снегу.
Остаётся добавить, что мы ещё раз проверили функциональность одежды BASK. Пуховки модели EVEREST и анорака подтвердили своё удобство и продуманность конструкции в самых разных условиях. Однослойная палатка Глеба Соколова BASK понравилась простотой установки и отсутствием ненужных деталей — она лаконично сочетает в себе жизненно необходимые элементы. Палатка однослойная, но мы использовали дополнительное утепление от платформы BASK, а также тройной общий спальник пошитый специально для платформы со входами «валетом».
Надо сказать, что холодно вообще-то не было. Ночью на леднике перед поворотом вряд ли было холоднее -10 0С. И нам было просто жарко! Спали с расстёгнутым спальником. Очень хорошо показали себя полочки для снаряжения, которые я нашил на стандартный BASK-овский рюкзак. Они позволяют удобно работать со снаряжением при надетой пуховке, когда достать что-нибудь с беседки становится проблематично.
При поддержке BASK
















